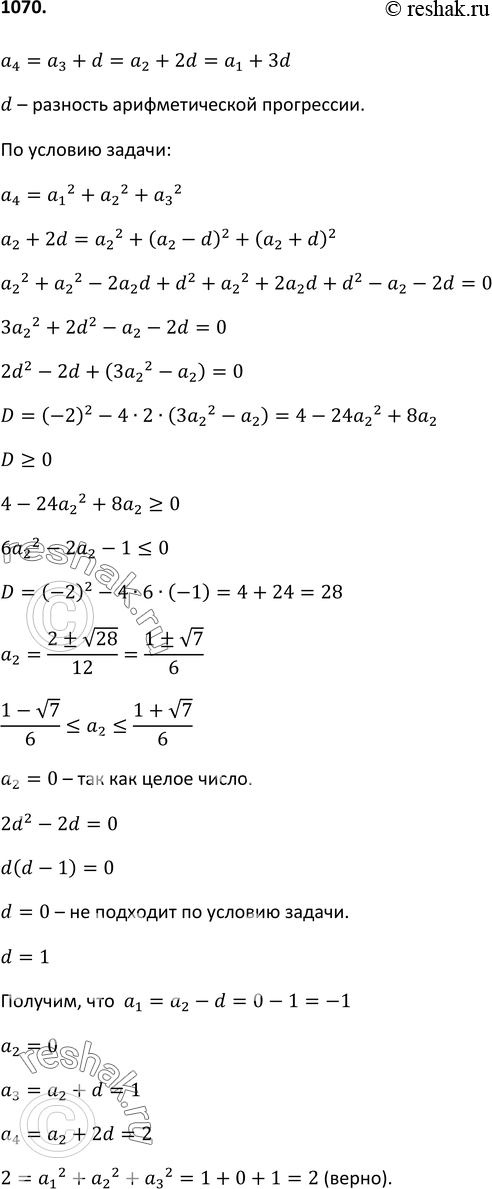
Упр.1070 ГДЗ Макарычев Миндюк 9 класс (Алгебра)
Решение #1

Рассмотрим вариант решения задания из учебника Макарычев, Миндюк, Нешков 9 класс, Просвещение:
1070 В арифметической прогрессии а1, а2, а3, а4, состоящей из целых чисел, наибольший член равен сумме квадратов остальных членов. Найдите члены этой прогрессии.
*размещая тексты в комментариях ниже, вы автоматически соглашаетесь с пользовательским соглашением