Упр.1076 ГДЗ Макарычев Миндюк 9 класс (Алгебра)
Решение #1
Решение #2

Рассмотрим вариант решения задания из учебника Макарычев, Миндюк, Нешков 9 класс, Просвещение:
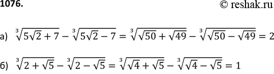
1076 Упростите выражение:
а) корень 3 степени (5 (корень 2) + 7) - корень 3 степени (5 (корень 2) - 7);
б) корень 3 степени (2 + (корень 5)) + корень 3 степени (2 - (корень 5)).
*размещая тексты в комментариях ниже, вы автоматически соглашаетесь с пользовательским соглашением