Упр.77 ГДЗ Макарычев Миндюк 9 класс (Алгебра)
Решение #1
Решение #2
Решение #3

Рассмотрим вариант решения задания из учебника Макарычев, Миндюк, Нешков 9 класс, Просвещение:
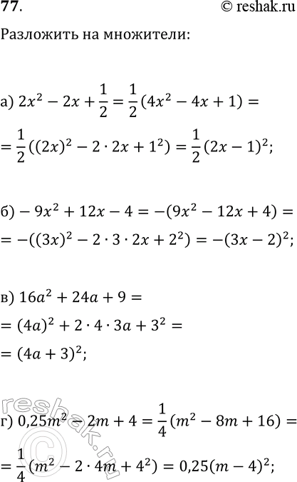
77 Разложите на множители квадратный трёхчлен:
а) 2x2 - 2x + 1/2;
б) -9x2 + 12x - 4;
в) 16а2 + 24а + 9;
г) 0,25m2 - 2m + 4.
*размещая тексты в комментариях ниже, вы автоматически соглашаетесь с пользовательским соглашением