Упр.72 ГДЗ Макарычев Миндюк 9 класс (Алгебра)

Решение #1

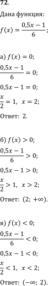
Изображение 72 Функция задана формулой f(x) = (0,5x-1)/6.При каких  значениях х:a) f(x) = 0; б) f(x) > 0; в) f(x)...

Решение #2

Изображение 72 Функция задана формулой f(x) = (0,5x-1)/6.При каких  значениях х:a) f(x) = 0; б) f(x) > 0; в) f(x)...

Решение #3

Изображение 72 Функция задана формулой f(x) = (0,5x-1)/6.При каких  значениях х:a) f(x) = 0; б) f(x) > 0; в) f(x)...
Загрузка...

Рассмотрим вариант решения задания из учебника Макарычев, Миндюк, Нешков 9 класс, Просвещение:
72 Функция задана формулой f(x) = (0,5x-1)/6.При каких значениях х:
a) f(x) = 0; б) f(x) > 0; в) f(x) <0?
*Цитирирование задания со ссылкой на учебник производится исключительно в учебных целях для лучшего понимания разбора решения задания.
*размещая тексты в комментариях ниже, вы автоматически соглашаетесь с пользовательским соглашением