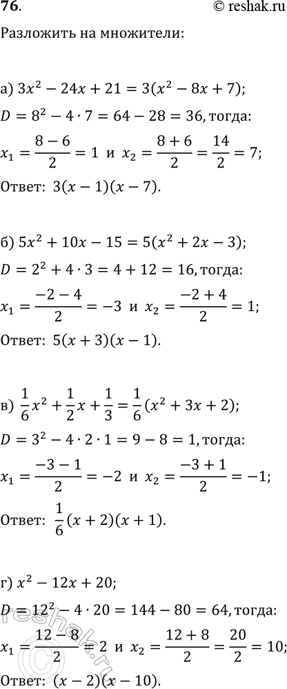
Упр.76 ГДЗ Макарычев Миндюк 9 класс (Алгебра)
Решение #1
Решение #2
Решение #3

Рассмотрим вариант решения задания из учебника Макарычев, Миндюк, Нешков 9 класс, Просвещение:
76 Разложите на множители квадратный трёхчлен:
а) 3x2 - 24x + 21;
б) 5x2 + 10x - 15;
в) 1х2/6 + 1x/2 + 1/3.
г) x2 - 12x + 20;
д) -у2 + 16у - 15;
е) -х2 - 8x + 9;
ж) 2x2 - 5x + 3;
з) 5y2 + 2у - 3;
и) -2x2 + 5x + 7.
*размещая тексты в комментариях ниже, вы автоматически соглашаетесь с пользовательским соглашением