Упр.672 ГДЗ Макарычев Миндюк 9 класс (Алгебра)
Решение #1
Решение #2

Рассмотрим вариант решения задания из учебника Макарычев, Миндюк, Нешков 9 класс, Просвещение:
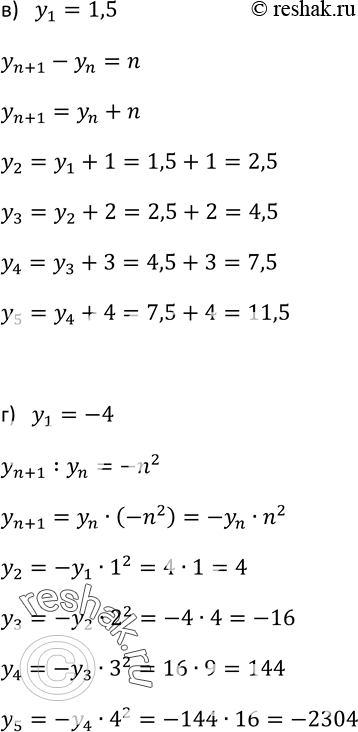
672 Вычислите первые несколько членов последовательности (уn), если:
а) У1 = -3, Уn+1 - Уn = 10;
б) у2 = 10, yn+1 * Уn = 2,5;
в) у1 = 1,5, уn+1 - уn = n;
г) У1 = -4, yn+1 : yn = -n2.
*размещая тексты в комментариях ниже, вы автоматически соглашаетесь с пользовательским соглашением