Упр.657 ГДЗ Макарычев Миндюк 9 класс (Алгебра)
Решение #1
Решение #2

Рассмотрим вариант решения задания из учебника Макарычев, Миндюк, Нешков 9 класс, Просвещение:
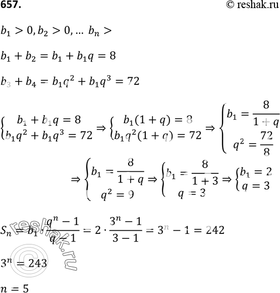
657 В геометрической прогрессии, все члены которой положительны, сумма первых двух членов равна 8, а сумма третьего и четвёртого членов равна 72. Сколько членов этой прогрессии, начиная с первого, надо сложить, чтобы получить в сумме 242?
*размещая тексты в комментариях ниже, вы автоматически соглашаетесь с пользовательским соглашением