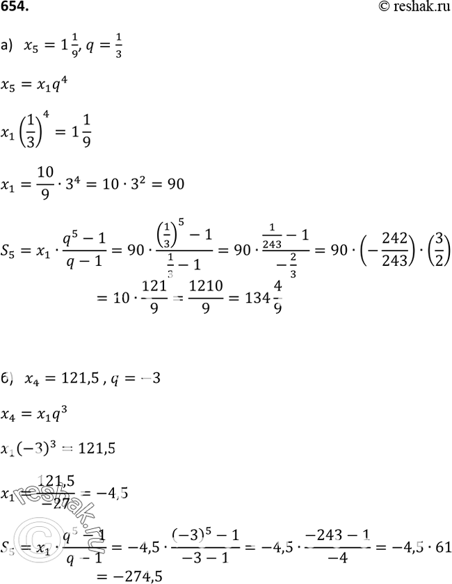
Упр.654 ГДЗ Макарычев Миндюк 9 класс (Алгебра)
Решение #1
Решение #2

Рассмотрим вариант решения задания из учебника Макарычев, Миндюк, Нешков 9 класс, Просвещение:
654. Найдите сумму первых пяти членов геометрической прогрессии (хn), если:
а) x5=1*1/9, q=1/3;
б) x4 =121,5, q=-3.
*размещая тексты в комментариях ниже, вы автоматически соглашаетесь с пользовательским соглашением