Упр.624 ГДЗ Макарычев Миндюк 9 класс (Алгебра)
Решение #1
Решение #2

Рассмотрим вариант решения задания из учебника Макарычев, Миндюк, Нешков 9 класс, Просвещение:
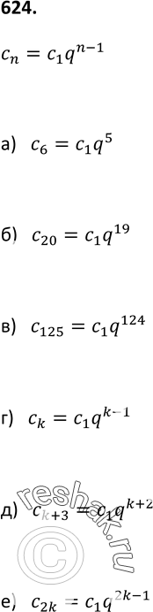
624. Последовательность (сn) — геометрическая прогрессия, первый член которой равен с1, а знаменатель равен q. Выразите через с1 и q:
а) с6; б) с20; в) с125; г) ck; д)сk+3; е) с2к.
*размещая тексты в комментариях ниже, вы автоматически соглашаетесь с пользовательским соглашением