Упр.619 ГДЗ Макарычев Миндюк 9 класс (Алгебра)
Решение #1
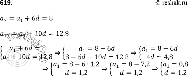
Решение #2

Рассмотрим вариант решения задания из учебника Макарычев, Миндюк, Нешков 9 класс, Просвещение:
619. В арифметической прогрессии а7 = 8 и а11 = 12,8. Найдите a1 и d.
*размещая тексты в комментариях ниже, вы автоматически соглашаетесь с пользовательским соглашением