Упр.57 ГДЗ Макарычев Миндюк 9 класс (Алгебра)
Решение #1
Решение #2
Решение #3

Рассмотрим вариант решения задания из учебника Макарычев, Миндюк, Нешков 9 класс, Просвещение:
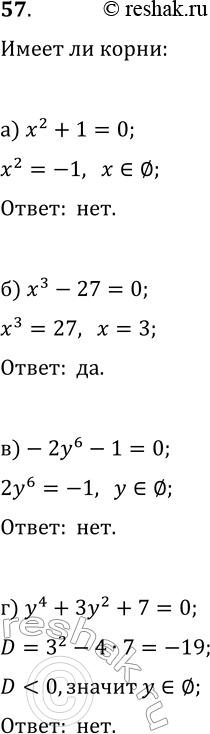
57. Имеет ли корни многочлен:
а) x2 + 1;
б) x3-27;
в) -2у6 - 1;
г) у4 + 3у2 + 7?
*размещая тексты в комментариях ниже, вы автоматически соглашаетесь с пользовательским соглашением