Упр.55 ГДЗ Макарычев Миндюк 9 класс (Алгебра)
Решение #1
Решение #2
Решение #3

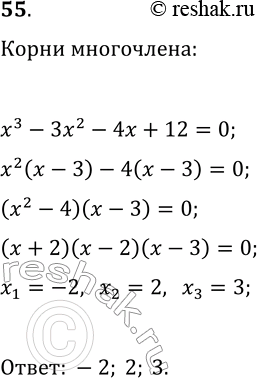
Рассмотрим вариант решения задания из учебника Макарычев, Миндюк, Нешков 9 класс, Просвещение:
55 Какие из чисел -2, -1, 0, 2, 3 являются корнями многочлена х3 - 3х2 - 4х + 12?
*размещая тексты в комментариях ниже, вы автоматически соглашаетесь с пользовательским соглашением