Упр.515 ГДЗ Макарычев Миндюк 9 класс (Алгебра)

Решение #1

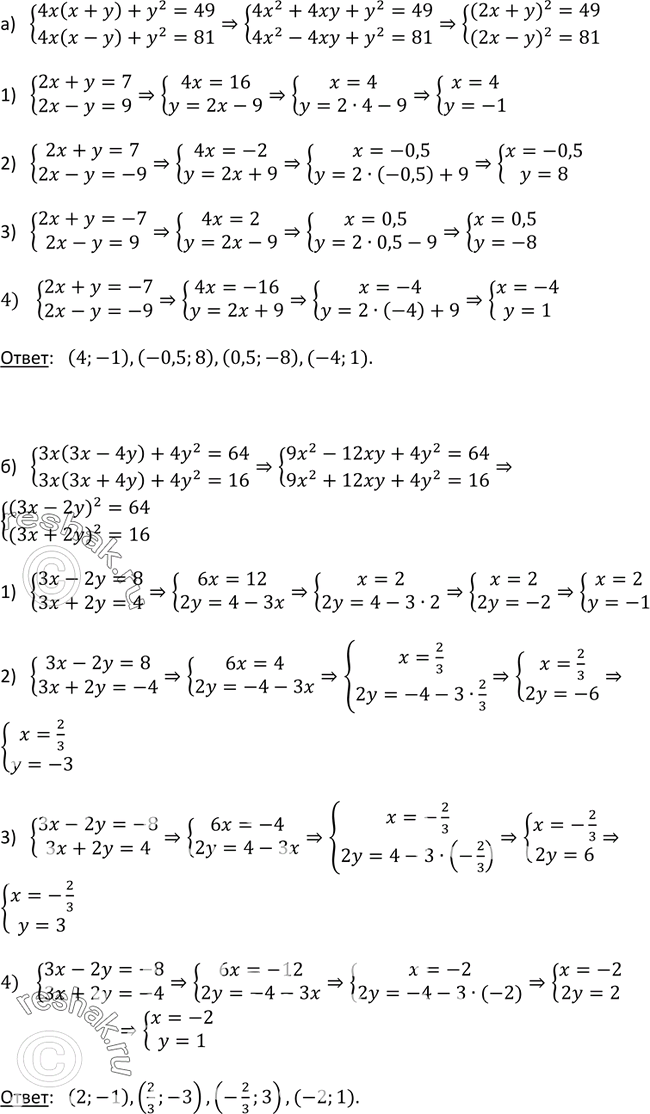
Изображение 515. Решите систему уравнений:а) система4x(x + у) + у2 = 49,	4х(х - у) + у2 = 81;б) система3х(3х - 4у) + 4у2 = 64, 3x(3x + 4 у) + 4 у2 =...

Решение #2

Изображение 515. Решите систему уравнений:а) система4x(x + у) + у2 = 49,	4х(х - у) + у2 = 81;б) система3х(3х - 4у) + 4у2 = 64, 3x(3x + 4 у) + 4 у2 =...
Дополнительное изображение
Дополнительное изображение
Загрузка...

Рассмотрим вариант решения задания из учебника Макарычев, Миндюк, Нешков 9 класс, Просвещение:
515. Решите систему уравнений:
а) система
4x(x + у) + у2 = 49,
4х(х - у) + у2 = 81;
б) система
3х(3х - 4у) + 4у2 = 64,
3x(3x + 4 у) + 4 у2 = 16.
*Цитирирование задания со ссылкой на учебник производится исключительно в учебных целях для лучшего понимания разбора решения задания.
*размещая тексты в комментариях ниже, вы автоматически соглашаетесь с пользовательским соглашением