Упр.513 ГДЗ Макарычев Миндюк 9 класс (Алгебра)
Решение #1
Решение #2

Рассмотрим вариант решения задания из учебника Макарычев, Миндюк, Нешков 9 класс, Просвещение:
512. Решите систему уравнений:
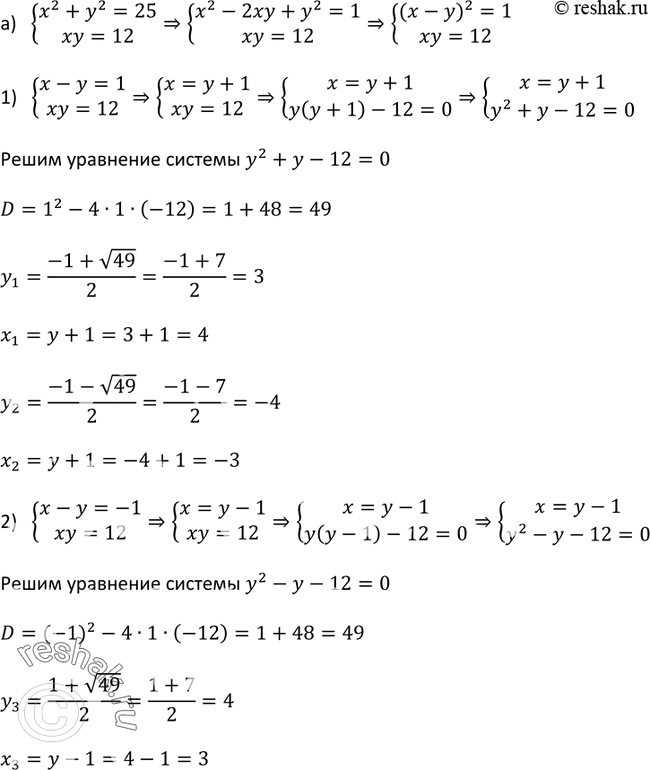
а) система
x2+y2=25,
xy=12;
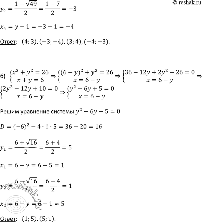
б) система
x2+y2=26,
x+y=6.
*размещая тексты в комментариях ниже, вы автоматически соглашаетесь с пользовательским соглашением