Упр.474 ГДЗ Макарычев Миндюк 9 класс (Алгебра)
Решение #1

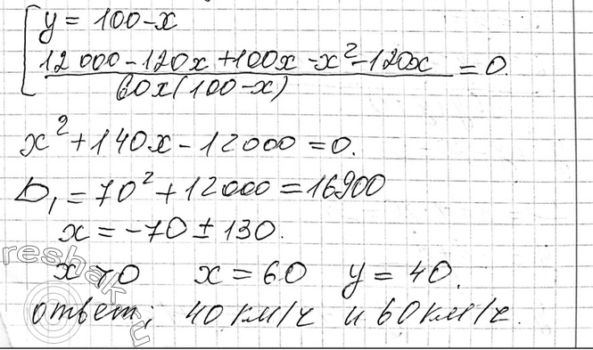
Рассмотрим вариант решения задания из учебника Макарычев, Миндюк, Нешков 9 класс, Просвещение:
474. Из населённых пунктов М и N, удалённых друг от друга на 50 км, выехали одновременно два мотоциклиста и встретились через 30 мин. Найдите скорость каждого мотоциклиста, если известно, что один из них прибыл в пункт М на 25 мин раньше, чем другой — в пункт N.
*размещая тексты в комментариях ниже, вы автоматически соглашаетесь с пользовательским соглашением