Упр.31 ГДЗ Макарычев Миндюк 9 класс (Алгебра)
Решение #1
Решение #2
Решение #3

Рассмотрим вариант решения задания из учебника Макарычев, Миндюк, Нешков 9 класс, Просвещение:
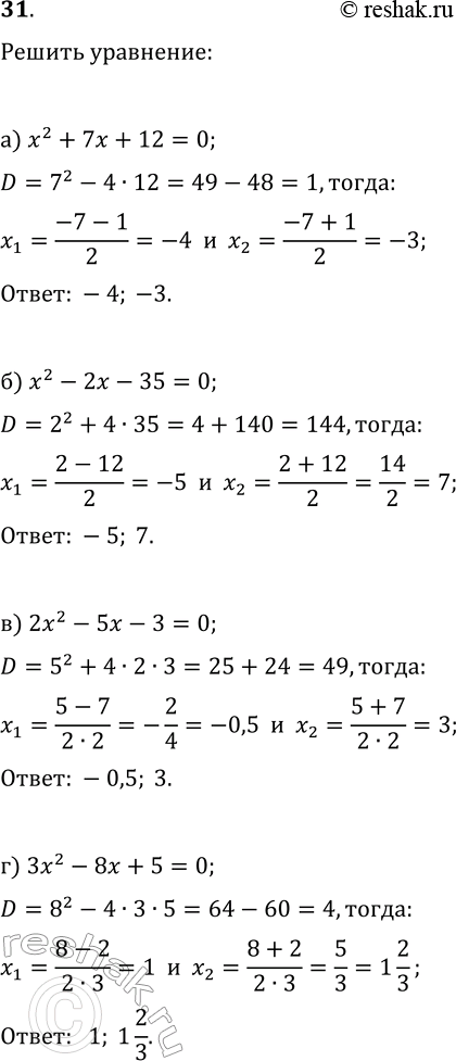
31. Решите квадратное уравнение:
а) х2 + 7х + 12 = 0;
б) х2 - 2х - 35 = 0;
в) 2x2 - 5x-3=0;
г) 3x2-8x+5=0.
*размещая тексты в комментариях ниже, вы автоматически соглашаетесь с пользовательским соглашением