Упр.30 ГДЗ Макарычев Миндюк 9 класс (Алгебра)
Решение #1
Решение #2
Решение #3

Рассмотрим вариант решения задания из учебника Макарычев, Миндюк, Нешков 9 класс, Просвещение:
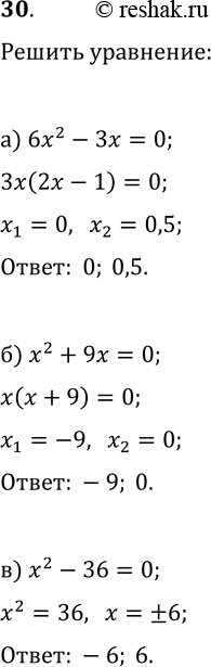
30. Решите неполное квадратное уравнение:
а) 6х2 - 3х = 0;
б) х2 + 9х = 0;
в) х2 - 36 = 0;
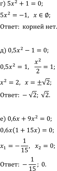
г) 5х2 +1 = 0;
д) 0,5x2 -1 = 0;
е) 0,6х + 9х2 = 0.
*размещая тексты в комментариях ниже, вы автоматически соглашаетесь с пользовательским соглашением