Упр.1058 ГДЗ Макарычев Миндюк 9 класс (Алгебра)
Решение #1
Решение #2

Рассмотрим вариант решения задания из учебника Макарычев, Миндюк, Нешков 9 класс, Просвещение:
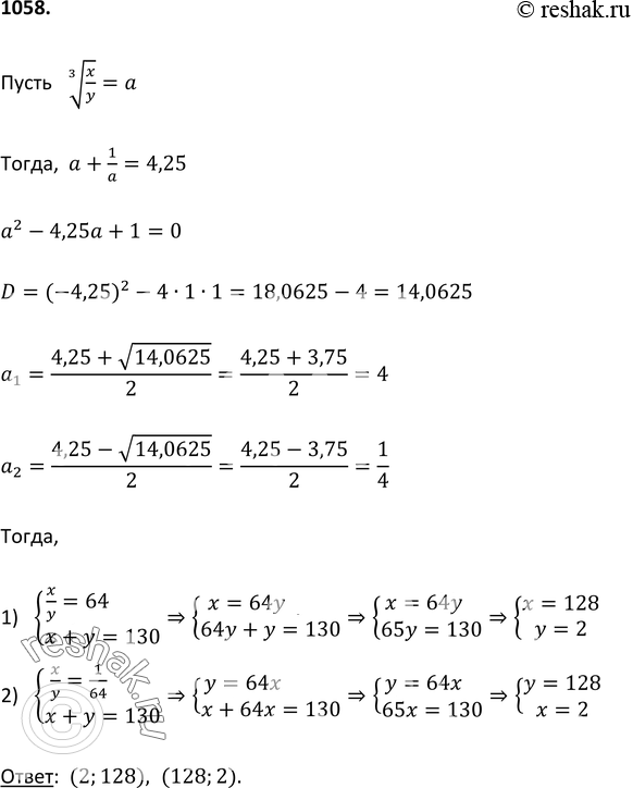
1058 Решите систему уравнений
система
корень 3 степени (x/y) + корень 3 степени (y/x) = 4,25,
x+y=130.
*размещая тексты в комментариях ниже, вы автоматически соглашаетесь с пользовательским соглашением