Упр.1054 ГДЗ Макарычев Миндюк 9 класс (Алгебра)
Решение #1
Решение #2

Рассмотрим вариант решения задания из учебника Макарычев, Миндюк, Нешков 9 класс, Просвещение:
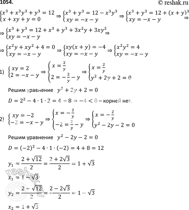
1054. Найдите все решения системы
система
x3+x3y3+y3=12,
x+xy+y=0.
*размещая тексты в комментариях ниже, вы автоматически соглашаетесь с пользовательским соглашением