Упр.1047 ГДЗ Макарычев Миндюк 9 класс (Алгебра)
Решение #1
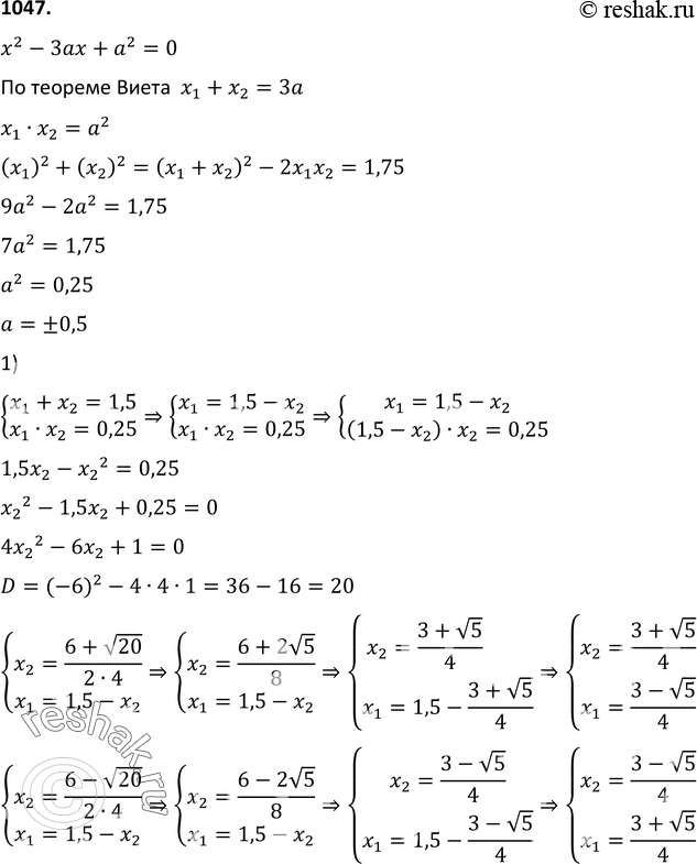
Решение #2

Рассмотрим вариант решения задания из учебника Макарычев, Миндюк, Нешков 9 класс, Просвещение:
1047.Сумма квадратов корней х1 и х2 уравнения х2 - 3ах + а2 = 0 равна 1,75. Найдите х1 и х2.
*размещая тексты в комментариях ниже, вы автоматически соглашаетесь с пользовательским соглашением