Упр.1038 ГДЗ Макарычев Миндюк 9 класс (Алгебра)
Решение #1
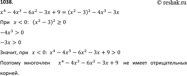
Решение #2

Рассмотрим вариант решения задания из учебника Макарычев, Миндюк, Нешков 9 класс, Просвещение:
1038 Докажите, что многочлен х - 4х3 - 6х2 - 3х + 9 не имеет отрицательных корней.
*размещая тексты в комментариях ниже, вы автоматически соглашаетесь с пользовательским соглашением