Упр.1032 ГДЗ Макарычев Миндюк 9 класс (Алгебра)
Решение #1
Решение #2

Рассмотрим вариант решения задания из учебника Макарычев, Миндюк, Нешков 9 класс, Просвещение:
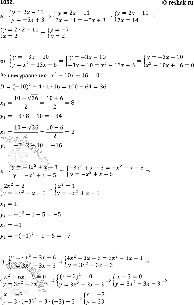
1032. Вычислите координаты точек пересечения графиков функций:
а) у = 2х - 11 и у = -5х + 3;
б) у = -3x - 10 и y = х2 - 13х + 6;
в) у = -3х2 + х - 3 и у = -х2 + х - 5;
г) у = 4х2 + Зх + 6 и у = 3х2 - 3х - 3.
*размещая тексты в комментариях ниже, вы автоматически соглашаетесь с пользовательским соглашением