Упр.349 ГДЗ Макарычев Миндюк 8 класс (Алгебра)
Решение #1
Решение #2

Рассмотрим вариант решения задания из учебника Макарычев, Миндюк, Нешков 8 класс, Просвещение:
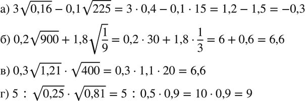
349. Вычислите:
а) 3 корень 0,16 -0,1 корень 225;
б) 0,2 корень 900+ 1,8;
в) 0,3 корень 1,21 * корень 400;
г) 5 : корень 0,25 * корень 0,81.
*размещая тексты в комментариях ниже, вы автоматически соглашаетесь с пользовательским соглашением