Упр.347 ГДЗ Макарычев Миндюк 8 класс (Алгебра)
Решение #1
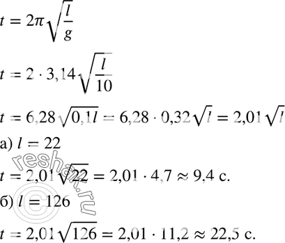
Решение #2

Рассмотрим вариант решения задания из учебника Макарычев, Миндюк, Нешков 8 класс, Просвещение:
347. Время t (с) полного колебания маятника вычисляется по формуле t = 2пи корень l/g, где l (см) — длина маятника, g ~ 10 м/с2, пи ~ 3,14. Найдите t с помощью калькулятора с точностью до 0,1 с, если l равно:
а) 22; б) 126.
*размещая тексты в комментариях ниже, вы автоматически соглашаетесь с пользовательским соглашением