Упр.39.41 ГДЗ Мордковича 10 класс профильный уровень (Алгебра)
Решение #1
Решение #2(записки учителя)
Решение #3(записки школьника)

Рассмотрим вариант решения задания из учебника Мордкович, Семенов 10 класс, Мнемозина:
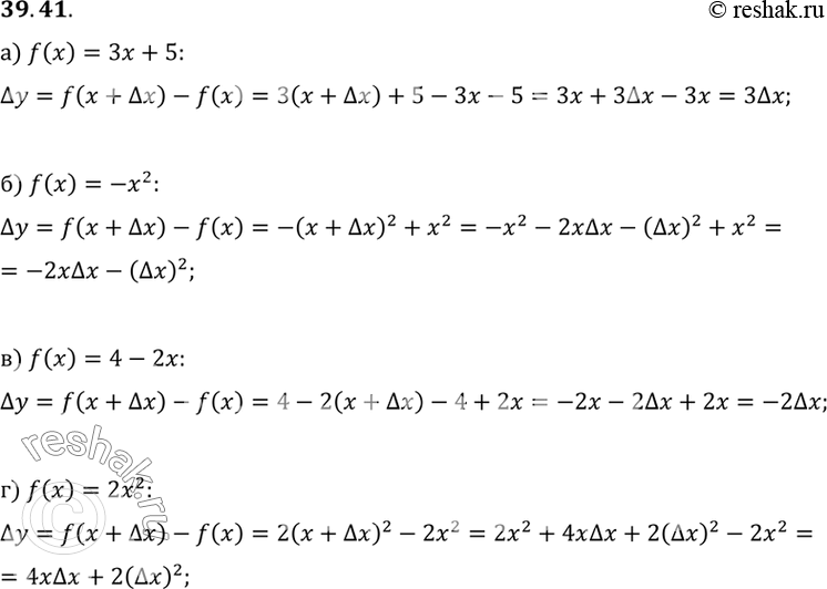
Найдите приращение функции у = f(x) при переходе от точки х к точке х + дельта х, если:
a) f(x) = 3х + 5;
б) f(х) = -х2;
в) f(x) = 4 - 2х;
г) f(x) = 2х2
*размещая тексты в комментариях ниже, вы автоматически соглашаетесь с пользовательским соглашением