Упр.6.17 ГДЗ Мордкович 9 класс (Алгебра)
Решение #1
Решение #2

Рассмотрим вариант решения задания из учебника Мордкович 9 класс, Мнемозина:
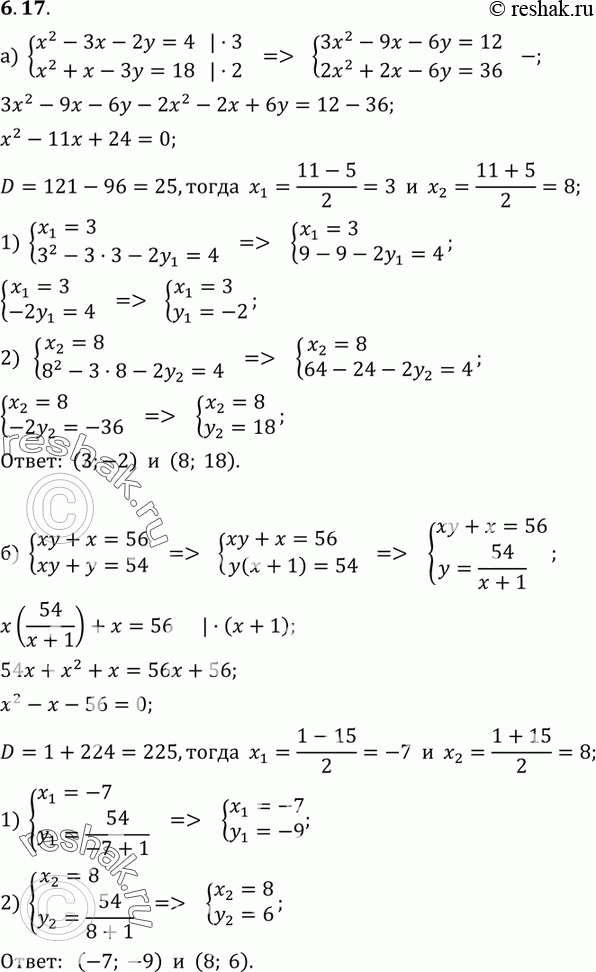
6.17 а) система
x2-3x-2y=4,
x2+x-3y=18;
б) система
xy+x=56,
xy+y=54;
в) система
x2+2x+3y=3,
x2+x+2y=4;
г) система
3x-xy=10,
y+xy=6.
*размещая тексты в комментариях ниже, вы автоматически соглашаетесь с пользовательским соглашением