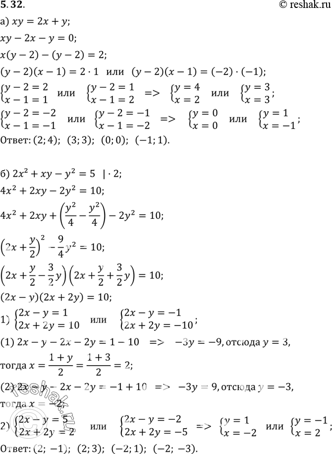
Упр.5.32 ГДЗ Мордкович 9 класс (Алгебра)
Решение #1
Решение #2

Рассмотрим вариант решения задания из учебника Мордкович 9 класс, Мнемозина:
5.32. а) ху = 2х + у;
б) 2х2 + ху - у2 = 5.
*размещая тексты в комментариях ниже, вы автоматически соглашаетесь с пользовательским соглашением