Упр.991 ГДЗ Макарычев Миндюк 9 класс (Алгебра)
Решение #1
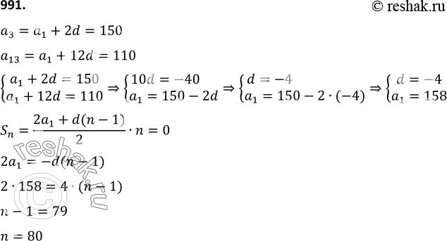
Решение #2

Рассмотрим вариант решения задания из учебника Макарычев, Миндюк, Нешков 9 класс, Просвещение:
991. В арифметической прогрессии третий член равен 150, а тринадцатый член равен 110. Сколько членов этой прогрессии, начиная с первого, сложили, если их сумма оказалась равной нулю?
*размещая тексты в комментариях ниже, вы автоматически соглашаетесь с пользовательским соглашением