Упр.730 ГДЗ Макарычев Миндюк 9 класс (Алгебра)
Решение #1

Рассмотрим вариант решения задания из учебника Макарычев, Миндюк, Нешков 9 класс, Просвещение:
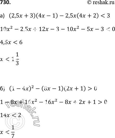
730. Решите неравенство:
а) (2,5x + 3)(4x- 1) - 2,5x(4x + 2) < 3;
б) (1 - 4x)2 - (8x - 1)(2x + 1) > 0.
*размещая тексты в комментариях ниже, вы автоматически соглашаетесь с пользовательским соглашением