Упр.65 ГДЗ Макарычев Миндюк 9 класс (Алгебра)
Решение #1
Решение #2
Решение #3

Рассмотрим вариант решения задания из учебника Макарычев, Миндюк, Нешков 9 класс, Просвещение:
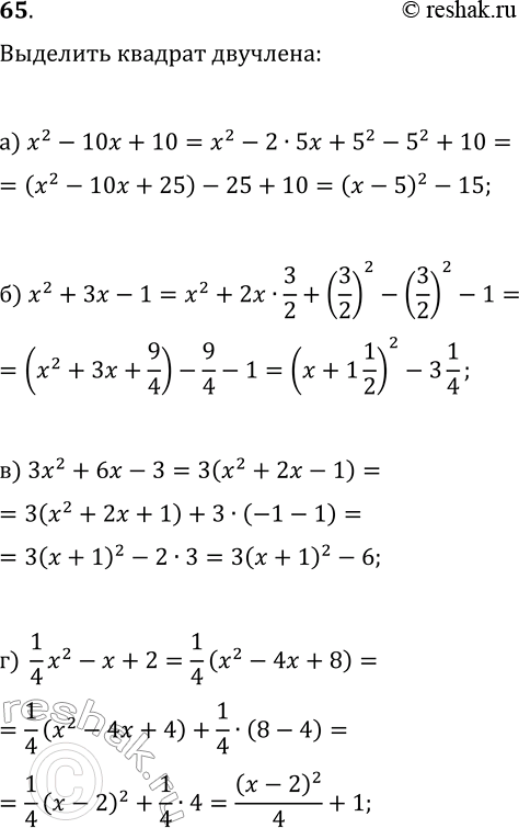
65 Выделите квадрат двучлена из квадратного трёхчлена:
а) х2 - 10ч + 10;
б) х2 + 3х - 1;
в) 3х2 + 6х - 3;
г) 1x2/4 - х + 2.
*размещая тексты в комментариях ниже, вы автоматически соглашаетесь с пользовательским соглашением