Упр.586 ГДЗ Макарычев Миндюк 9 класс (Алгебра)
Решение #1
Решение #2

Рассмотрим вариант решения задания из учебника Макарычев, Миндюк, Нешков 9 класс, Просвещение:
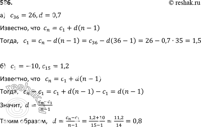
586. Последовательность (сn) - арифметическая прогрессия. Найдите:
а) с1, если с36 = 26 и d =0,7;
б) d, если C1 = -10 и с15 =1,2.
*размещая тексты в комментариях ниже, вы автоматически соглашаетесь с пользовательским соглашением