Упр.570 ГДЗ Макарычев Миндюк 9 класс (Алгебра)
Решение #1
Решение #2

Рассмотрим вариант решения задания из учебника Макарычев, Миндюк, Нешков 9 класс, Просвещение:
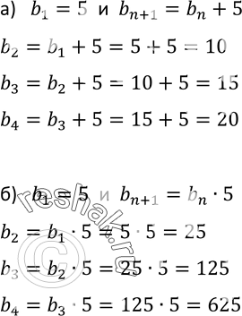
570. Выпишите первые четыре члена последовательности (bn), если:
а) b1 = 5, bn +1 = bn + 5; б) b4 = 5, bn+1 = bn * 5.
*размещая тексты в комментариях ниже, вы автоматически соглашаетесь с пользовательским соглашением