Упр.532 ГДЗ Макарычев Миндюк 9 класс (Алгебра)

Решение #1

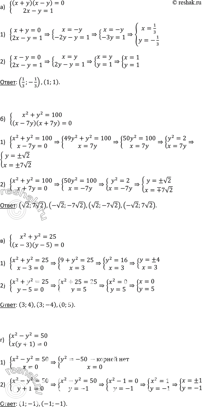
Изображение 532. Решите систему уравненийа) система (x + у)(х - у) = 0,2х - у = 1;б) системах2 + у2 - 100,(х - 7y)(х + 7y) = 0;в) система х2 + у2 = 25,(х - 3)(у -...

Решение #2

Изображение 532. Решите систему уравненийа) система (x + у)(х - у) = 0,2х - у = 1;б) системах2 + у2 - 100,(х - 7y)(х + 7y) = 0;в) система х2 + у2 = 25,(х - 3)(у -...
Дополнительное изображение
Дополнительное изображение
Загрузка...

Рассмотрим вариант решения задания из учебника Макарычев, Миндюк, Нешков 9 класс, Просвещение:
532. Решите систему уравнений
а) система
(x + у)(х - у) = 0,
2х - у = 1;
б) система
х2 + у2 - 100,
(х - 7y)(х + 7y) = 0;
в) система
х2 + у2 = 25,
(х - 3)(у - 5) = 0;
г) система
х2 - у2 = 50,
x(y + 1) = 0.
*Цитирирование задания со ссылкой на учебник производится исключительно в учебных целях для лучшего понимания разбора решения задания.
*размещая тексты в комментариях ниже, вы автоматически соглашаетесь с пользовательским соглашением