Упр.483 ГДЗ Макарычев Миндюк 9 класс (Алгебра)
Решение #1
Решение #2

Рассмотрим вариант решения задания из учебника Макарычев, Миндюк, Нешков 9 класс, Просвещение:
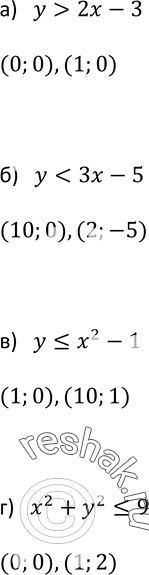
483. Найдите два каких-нибудь решения неравенства:
а) у > 2х — 3;
б) у < 3х - Ь;
в) у <= х2 - 1;
г) х2 + у2 <= 9.
*размещая тексты в комментариях ниже, вы автоматически соглашаетесь с пользовательским соглашением