Упр.430 ГДЗ Макарычев Миндюк 9 класс (Алгебра)
Решение #1
Решение #2

Рассмотрим вариант решения задания из учебника Макарычев, Миндюк, Нешков 9 класс, Просвещение:
430. Решите систему уравнений, используя способ подстановки:
а) система
x=3-y,
y2-x=39;
б) система
y=1+x,
x+y2=-1;
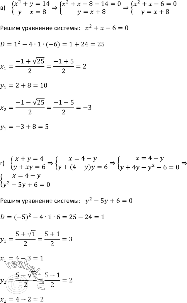
в) система
x2+y=14,
y-x=8;
г) система
x+y=4,
y+xy=6.
*размещая тексты в комментариях ниже, вы автоматически соглашаетесь с пользовательским соглашением