Упр.19 ГДЗ Макарычев Миндюк 9 класс (Алгебра)

Решение #1

Изображение 19. Укажите область определения и область значений каждой из функций у = х2, у = х3, у = корень х (см. рис....

Решение #2

Изображение 19. Укажите область определения и область значений каждой из функций у = х2, у = х3, у = корень х (см. рис....
Загрузка...

Рассмотрим вариант решения задания из учебника Макарычев, Миндюк, Нешков 9 класс, Просвещение:
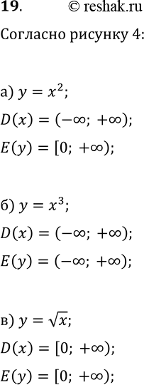
19. Укажите область определения и область значений каждой из функций у = х2, у = х3, у = корень х (см. рис. 4).
*Цитирирование задания со ссылкой на учебник производится исключительно в учебных целях для лучшего понимания разбора решения задания.
*размещая тексты в комментариях ниже, вы автоматически соглашаетесь с пользовательским соглашением