Упр.1008 ГДЗ Макарычев Миндюк 9 класс (Алгебра)
Решение #1
Решение #2

Рассмотрим вариант решения задания из учебника Макарычев, Миндюк, Нешков 9 класс, Просвещение:
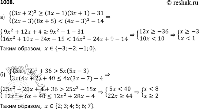
1008. Найдите целые решения системы неравенств:
а) система
(3х + 2)2 >= (3х- 1)(3х + 1) - 31,
(2х- 3)(8х + 5) < ( 4x- 3)2 - 14;
б) cистема
(5x - 2)2 + 36 > 5х(5х- 3),
3х(4х + 2) + 40 <= 4х(3х + 7) - 4.
*размещая тексты в комментариях ниже, вы автоматически соглашаетесь с пользовательским соглашением