Упр.757 ГДЗ Макарычев Миндюк 8 класс (Алгебра)
Решение #1
Решение #2

Рассмотрим вариант решения задания из учебника Макарычев, Миндюк, Нешков 8 класс, Просвещение:
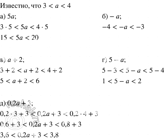
757. Известно, что 3 < а < 4. Оцените значение выражения:
а) 5а; б) -а; в) а + 2; г) 5-а; д) 0,2а + 3.
*размещая тексты в комментариях ниже, вы автоматически соглашаетесь с пользовательским соглашением