Упр.571 ГДЗ Мерзляк Полонский 7 класс (Алгебра)
Решение #1
Решение #2

Рассмотрим вариант решения задания из учебника Мерзляк, Полонская, Якир 7 класс, Вентана-Граф:
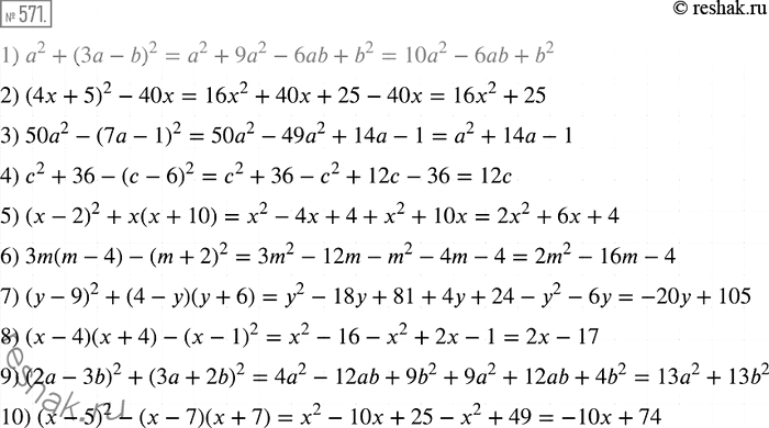
571 Упростите выражение:
1) а2 + (3а - b)2;
2) (4х + 5)2 - 40х;
3) 50а2 -(7а-1)2;
4) с2 + 36 - (с - 6)2;
5) (х - 2)2 + х(х + 10);
6) 3m(m - 4) - (m + 2)2;
7) (y-9)2 +(4-y)(y + 6);
8) (х - 4)(х + 4) - (х - 1)2;
9) (2а - 3b)2 + (3а + 2b)2;
10) (х - 5)2 - (х - 7)(х + 7).
*размещая тексты в комментариях ниже, вы автоматически соглашаетесь с пользовательским соглашением