Упр.40 ГДЗ Колягин Ткачёва 9 класс (Алгебра)

Решение #1

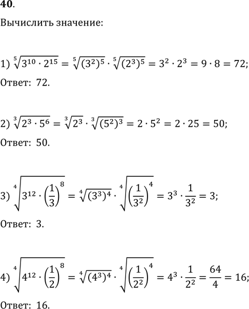
Изображение 40. Вычислить:1) (30^10·2^15)^(1/5);   2) (2^3·5^6)^(1/3);3) (3^12·(1/3)^8)^(1/4);   4)...
Загрузка...

Рассмотрим вариант решения задания из учебника Колягин, Ткачёва, Фёдорова 9 класс, Просвещение:
40. Вычислить:
1) (30^10·2^15)^(1/5); 2) (2^3·5^6)^(1/3);
3) (3^12·(1/3)^8)^(1/4); 4) (4^12·(1/2)^8)^(1/4).
*Цитирирование задания со ссылкой на учебник производится исключительно в учебных целях для лучшего понимания разбора решения задания.
*размещая тексты в комментариях ниже, вы автоматически соглашаетесь с пользовательским соглашением