Упр.39.10 ГДЗ Мерзляк Поляков 7 класс (Алгебра)
Решение #1

Рассмотрим вариант решения задания из учебника Мерзляк, Поляков 7 класс, Вентана-Граф:
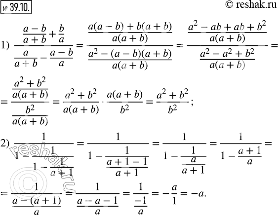
39.10. Упростите выражение:
1) ((a-b)/(a+b)+b/a)/(a/(a+b)-(a-b)/a);
2) 1/(1-1/(1-1/(a+1))).
*размещая тексты в комментариях ниже, вы автоматически соглашаетесь с пользовательским соглашением