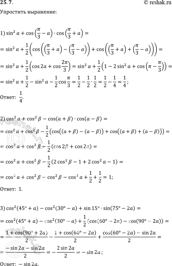
Упр.25.7 ГДЗ Мерзляк 10 класс Базовый уровень (Алгебра)
Решение #1

Рассмотрим вариант решения задания из учебника Мерзляк, Номировский, Полонский 10 класс, Вентана-Граф:
25.7. Упростите выражение:
1) sin^2(a)+cos(?/3-a)cos(?/3+a);
2) cos^2(a)+cos^2(?)-cos(a+?)cos(a-?);
3) cos^2(45°+a)-cos^2(30°-a)+sin(15°)sin(75°-2a).
*размещая тексты в комментариях ниже, вы автоматически соглашаетесь с пользовательским соглашением