Упр.203 ГДЗ Дорофеев Суворова 9 класс (Алгебра)
Решение #1

Рассмотрим вариант решения задания из учебника Дорофеев, Суворова, Бунимович 9 класс, Просвещение:
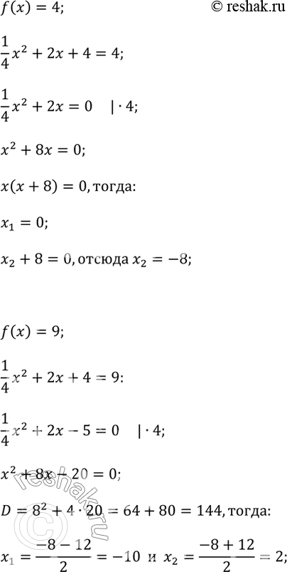
203. Найдите на рисунке 2.2 график функции у = f(х), где
f(x) = 1/4 x^2 + 2х +4. Определите по графику и вычислите по формуле:
1) f(0), f(-10), f(2);
2) значения аргумента х, при которых f(x) = 0, f(x) = 4, f(x) = 9.
*размещая тексты в комментариях ниже, вы автоматически соглашаетесь с пользовательским соглашением