Упр.15.2 ГДЗ Мерзляк 10 класс Базовый уровень (Алгебра)
Решение #1

Рассмотрим вариант решения задания из учебника Мерзляк, Номировский, Полонский 10 класс, Вентана-Граф:
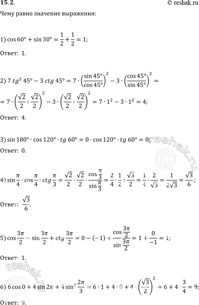
15.2. Чему равно значение выражения:
1) cos 60°+sin 30°; 4) sin Пи/4 cos Пи/4 ctg Пи/3;
2) 7tg^2 45°-3ctg 45°; 5) cos 3Пи/2-sin 3Пи/2+ctg 3Пи/2;
3) sin 180° cos 120° tg 60°; 6) 6cos 0+4sin 2Пи+4sin^2 2Пи/3бетта
*размещая тексты в комментариях ниже, вы автоматически соглашаетесь с пользовательским соглашением