Упр.143 ГДЗ Колягин Ткачёва 10 класс (Алгебра)
Решение #1
Решение #2

Рассмотрим вариант решения задания из учебника Колягин, Ткачёва, Фёдорова 10 класс, Просвещение:
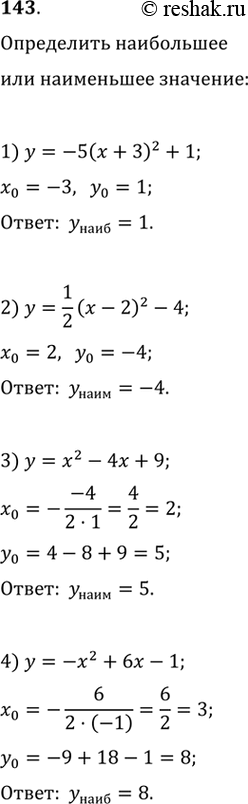
143. Определить наименьшее (наибольшее) значение функции:
1) у=-5(х+3)^2 + 1; 2)y= 1/2(x-2)*2-4;
3)у=х2-4х+9; 4) у= -х2+6х-1.
*размещая тексты в комментариях ниже, вы автоматически соглашаетесь с пользовательским соглашением