Онлайн тест ЕГЭ по математике 2016 Вариант №11. Тест соответствует Федеральным Государственным Образовательным стандартам 2016. Для проходжения теста в вашем браузере должна быть включена функция JavaScript. Ответ вводится в специальное поле. Ответом является целое число или десятичная дробь, например: 4,25 (разделение разряда только через запятую). Единицы измерения не пишутся. После ввода предположительного ответа, нажмите кнопку "Проверить". По ходу решения Вы можете наблюдать за количеством набранных баллов. Все баллы по заданиям распределены в соответствии с КИМ.
ЗАДАНИЯ ЧАСТИ В
В квартире, где проживает Анастасия, установлен прибор учёта расхода холодной воды (счётчик). 1 февраля счётчик показывал расход 145 куб. м воды, а 1 мар¬та — 162 куб. м. Какую сумму должна заплатить Анастасия за холодную воду за февраль, если цена за 1 куб. м холодной воды составляет 24 руб. 30 коп.? Ответ дайте в рублях.
Не получается? Посмотреть ответ
Ответ:413,1
На диаграмме показана среднемесячная температура воздуха в Свердловске (ныне — Екатеринбург) за каждый месяц 1973 года. По горизонтали указываются месяцы, по вертикали — температура в градусах Цельсия. Определите по диаграм¬ме, сколько месяцев в 1973 году средняя температура была ниже, чем 6°С.
Не получается? Посмотреть ответ
Ответ:7
На клетчатой бумаге с клетками размером 1 см х 1 см изображён треугольник (см. рисунок). Найдите его площадь в квадратных сантиметрах.
Не получается? Посмотреть ответ
Ответ:15
Рейтинговое агентство определяет рейтинги автомобилей на основе оценок безопас¬ности S, комфорта С, функциональности F, качества Q и дизайна D. Каждый по¬казатель оценивается читателями журнала по 5-балльной шкале. Рейтинг R вычисляется по формуле R=(3S+2C+2F+2Q+D)/50. В таблице даны оценки каждого показателя для трёх моделей автомобилей. Опре¬делите, какой автомобиль имеет наивысший рейтинг. В ответ запишите значение этого рейтинга.
Не получается? Посмотреть ответ
Ответ:0,72
Не получается? Посмотреть ответ
Ответ:4
Не получается? Посмотреть ответ
Ответ:8,4
Не получается? Посмотреть ответ
Ответ:12
На рисунке изображён график первообразной у = F(x) некоторой функции у = f(x), определённой на интервале (-16; - 2). Пользуясь рисунком, определите количество решений уравнения f[x) = 0 на отрезке [-10; -4].
Не получается? Посмотреть ответ
Ответ:3
В правильной четырёхугольной пирамиде SABCD точка О — центр основания, S — вершина, SO = 15, BD = 16. Найдите боковое ребро SA.
Не получается? Посмотреть ответ
Ответ:17
В фирме такси в данный момент свободно 20 машин: 10 чёрных, 2 жёлтых и 8 зе¬лёных. По вызову выехала одна из машин, случайно оказавшаяся ближе всего к заказчице. Найдите вероятность того, что к ней приедет зелёное такси.
Не получается? Посмотреть ответ
Ответ:0,4
Цилиндр и конус имеют общее основание и общую высоту. Вычислите объём ци¬линдра, если объём конуса равен 20.
Не получается? Посмотреть ответ
Ответ:60
Самые красивые мосты — вантовые. Вертикальные пилоны связаны огромной про¬висающей цепью. Тросы, которые свисают с цепи и поддерживают полотно моста, называются вантами. На рисунке изображена схема одного вантового моста. Введём систему координат: ось Оу направим вертикально вдоль одного из пилонов, а ось Ох направим вдоль полотна моста, как показано на рисунке. В этой системе координат цепь моста имеет уравнение у = 0,0061x^2 -0,854x+ 33, где х и у измеряются в метрах. Най¬дите длину ванты, расположенной в 100 метрах от пилона. Ответ дайте в метрах.
Не получается? Посмотреть ответ
Ответ:8,6
Из пункта А в пункт В одновременно выехали два автомобиля. Первый проехал с постоянной скоростью весь путь. Второй проехал первую половину пути со ско¬ростью, меньшей скорости первого на 12 км/ч, а вторую половину пути — со ско¬ростью 72 км/ч, в результате чего прибыл в пункт В одновременно с первым ав¬томобилем. Найдите скорость первого автомобиля, если известно, что она больше 45 км/ч. Ответ дайте в километрах в час.
Не получается? Посмотреть ответ
Ответ:48
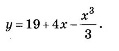
Найдите точку минимума функции.
Не получается? Посмотреть ответ
Ответ:-2